TECH SPOT: SAMPLE CRE QUESTIONS (PART 12)
1. A stand‐by redundant system uses two identical units. The failure rate of each unit is 0.0007 failures per hour. What is the system reliability for 200 hours (Assume the sensing and switching reliability is 0.9).
A.0.991 B. 0.983 C. 0.979 D, 0.965

2. Which of the following is true if all the subsystems in a series system have a constant failure rate?
A. The failure rate of the system is constant
B. The failure rate of the system will increase as more subsystems are added
C. The failure rate of the system is the sum of the subsystem failure rates
D. All of the above
3. What is the reliability of this system?

A. 0.9191
B. 0.9244
C. 0.9297
D. 0.9856
4. A parallel system has three subsystems each with a reliability of R.
The system reliability can be calculated as
A. 3R
B. R3
C. 1 ‐ (1 ‐ R)3
D. 1 ‐ (1 ‐ R3)
5. To place confidence limits on a prediction which of the following is true?
A. The Chi Square distribution is used
B. The F distribution is used
C. The t distribution is used
D. A prediction is probabilistic, therefore confidence does not apply
6. 50 electronic devices have been tested for 3,000 hours without failures.
What is the approximate MTBF of this device at 90% lower confidence ?
A. 65150 hours
B. 25500 hours
C. 6500 hours
D. 6500 hours

7. Which one is not the reliability prediction technique?
A. Weibull plot
B. Duane plot
C. Uniform Precision Design
D. Fix effectiveness Model?
8. In success testing, how many samples need to operate for one lifetime without failure to demonstrate 95% confidence with 99% reliability?
A. 298 samples
B. 90 samples
C. 59 samples
D. 458 samples
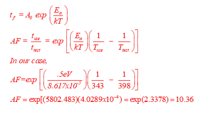
9. The following data is used for thermal stress evaluation of ICs using Arrhenius Equation.
What is the acceleration factor ?
Wearout Activation Energy is in eV
- Ea = 0.5 eV k is Boltzmann’s Constant,
- 8.617 x 10-5 eV / K
- T1 is Temperature in degrees C = 70 deg C (343⁰K)
- T2 is Junction temperature during test in degrees C= 125 deg C (398⁰K)
A. 10.4
B. 5.2
C. 9.5
D. 10.0

10. The reliability of a system consisting of two units in parallel is 0.96.
If the reliability of each component is increased by 10%, what is the percentage increase in the reliability of the system?
A. 10%
B. 5%
C. 3.33%
D. 2.66%


Leave a Reply